※この記事は2016年3月29日時点の情報から作成しています。
HRテック系企業をグラフ化してみた
今回は、125社簡単調査シリーズを元に、見やすいように調達額を軸にグラフ化しました。「エグジット」部門の企業と、調達額が不明瞭だった企業は分析から除き、
最終的に109社が残りました。
なお、今回まとめたデータはあくまでCB Insightsがブログ記事で選出した企業のみを
分析したので、現存する全てのHRテック系企業を比較していないことを、ご了承ください。
部門ごとの各企業の内訳・概要は下記の記事をご覧ください。
- 「リクルーティングマーケットプレイス&検索プラットフォーム」部門&
「リクルーティング・採用ツール」部門 - 「保険、福利厚生、人事管理」部門&
「カルチャー・生産性」部門&
「オペレーション・マネジメント」部門 - 「アルバイト・フリーランサー」部門
- 「エグジット」部門
調達額の高いトップ10選

堂々の1位はZenefitsになりました。2位のSkillRoad Technologyとは約3倍の差があります。
2位〜6位は僅差で、それ以降はほぼ同着の順位となっているようです。
2010〜2015年設立企業での調達額トップ10選
CB Insights が調べた企業には古い企業も含まれていましたので、2010〜2015年の間に設立された比較的新しい企業だけで調べてみました。
すると、GustoやMaxwell healthなど、福利厚生部門(I&B = Insurance and Benefit)の企業が上位4位にランクインするなど、勢いを増しています。
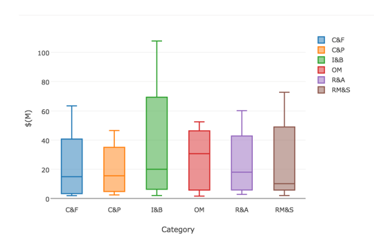
部門別での調達額
では、部門別に見てみることにします。
左から部門別に説明すると以下のようになります。
青:バイト・フリーランサー
オレンジ:カルチャー・生産性
緑:福利厚生
赤:オペレーション・マネジメント
紫:リクルーティング・採用ツール
茶:リクルーティング・検索プラットフォーム
平均値だけを見るとZenefitsのようなはずれ値に左右されますから、ボックス プロットを使って比較しました。
中央値に着目すると、赤のオペレーションマネジメント部門が一番高いことが分かります。この分野は全体として伸びてきていると言えるでしょう。
一方、中央値、最大値、幅を考慮すると、オレンジのカルチャー・生産性部門が最も元気がなさそうです。
最も勢いがあるHRテックは「福利厚生」分野
全体の傾向として、Zenefitsのような社員の福利厚生を効率化させるようなサービスが、最も勢いのあるHRの分野であることが言えそうです。
数年以内には「オペレーション・マネジメント」分野も「福利厚生」分野に追いつくぐらい成長する可能性があります。
ミツカリは、まだ熱くないカルチャー部門に属しますが、今後は盛り上げていける存在になりたいと考えています!







