人と組織のミスマッチをなくす!ミツカリ誕生物語
弊社代表の表 孝憲が、面接官としての悲しい現実から、留学での組織心理学や面接官が聞くべき質問を整理した構造化面接との出会いを経て、人と組織のミスマッチをなくすツールであるミツカリを作った経緯を語ります。
弊社代表の表 孝憲が、面接官としての悲しい現実から、留学での組織心理学や面接官が聞くべき質問を整理した構造化面接との出会いを経て、人と組織のミスマッチをなくすツールであるミツカリを作った経緯を語ります。
HRとは「Human Resource」の頭文字で、日本語では人事を意味しています。HRテックとは、人事における課題をテクノロジーを駆使して解決することを指しています。HRテックサービスは近年急激に成長しており、2016年時点でのアメリカでのHRテック市場は1兆3000億円と日本の100倍以上の盛り上がりを見せています。今回は未上場かつM&Aされていないスタートアップ・ベンチャー企業に絞って、会社が伸びる可能性と成長スピードから上位10サービスをランキング形式で紹介します。
グローバル化、グローバル企業などというワードと併用されることがある多様性(ダイバーシティ)。企業や組織における多様性のメリット・デメリットについて、学術的研究の側面からひもとき、どのような状況で目指すべきかを解説します。
労働安全衛生法が一部改正され、2015年12月からストレスチェック実施義務が生じるようになりました。では仕事で感じるストレスにはどのようなものがあり、人事担当者として取り組めることは何でしょうか?心理学研究の知見から掘り下げてまとめます。
ミライセルフが行った仕事における価値観や人間関係の調査から、「環境と性格の相互作用については、切り離してマッチングを考える」べきと気づきを得ました。どちらも個人の力で変えることが難しい要因ですが、うまくいくパターンを見つけることで適材適所を実現できると考えています。適材適所を実現するために有効な理論であるトレイトアクティベーションモデルについて説明します。
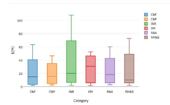
CB Insightsにて公開された2016年3月29日のブログ記事で全125社のHRテック系スタートアップを網羅したマップが紹介されました。「調達額」に基づいてグラフ化することで、最も勢いのある分野を調査しました。
CB Insightsにて公開された2016年3月29日のブログ記事で全125社のHRテック系スタートアップを網羅したマップが紹介されました。 この記事では「エグジット」部門に絞って、 サービスの概要を紹介します。
CB Insightsにて公開された2016年3月29日のブログ記事で全125社のHRテック系スタートアップを網羅したマップが紹介されました。 この記事では「アルバイト・フリーランサー」に絞って、 サービスの概要を紹介します。
CB Insightsにて公開された2016年3月29日のブログ記事で全125社のHRテック系スタートアップを網羅したマップが紹介されました。 この記事では「保険、福利厚生、人事管理」「カルチャー・生産性」「オペレーション・マネジメント」に絞って、 サービスの概要を紹介します。
CB Insightsにて公開された2016年3月29日のブログ記事で全125社のHRテック系スタートアップを網羅したマップが紹介されました。 この記事では「リクルーティングマーケットプレイス&検索プラットフォーム」と「リクルーティング・採用ツール」分野の サービスの概要を紹介します。